Un extrait de mon livre » les orthographes du désir » paru chez L’Harmattan
L’inscription de toutes ses écritures
Dans la séance du 23 avril, Lacan dessine pour la première fois son graphe complet ou graphe à deux étages. Pour le construire, il met comme toujours en exercice, au titre d’exemple de son maniement, un exemple clinique. Ainsi dans le cours de ces séances il reprend l’observation d’Elisabeth Von R., pour décrire ce qu’il appelle cette «spaltung», cette division entre la Demande et le désir. Le désir se présentant toujours sous un masque, celui du symptôme. En l’occurrence celui d’Elisabeth était une douleur de la cuisse qui se réveillait au cours de ses séances. Mais Lacan a fait précéder la mise en place de ce graphe du désir de trois lignes de formules algébriques dont les lettres peuvent chacune être inscrites aux différents points d’intersection de ce graphe désormais complet. Il les a inscrites au tableau, sous leur forme encore totalement énigmatique parce qu’encore indéchiffrée dans la séance du 26 mars 1958. Il annonce qu’ainsi avec ces trois lignes de formules il compte conjuguer le désir avec le signifiant.
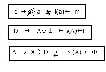
Lacan présente donc cette série de lettres en les évoquant une par une. « Ces formules sont, à mon gré, celles autour desquelles vous pourrez non seulement articuler quelque chose du problème que je viens de vous proposer (celle de conjuguer le désir avec le signifiant) mais articuler même toutes les vagations, voire même divagations de la pensée analytique concernant ce qui reste toujours notre problème fondamental. Enfin de compte n’oublions pas qu’il est le problème du désir. » Voici ce graphe du désir complet tel que Lacan l’a représenté dans son texte des Ecrits, « Subversion du sujet et dialectique du désir. Je devance un peu sa mise en place car ce graphe va nous permettre de lire plus aisément les trois formules qu’il avait inscrites sur le tableau noir. Quelles sont ces lettres ?
Sur la première ligne, d, c’est le désir. Le S barré c’est le sujet. Le petit a c’est le petit autre, « c’est l’autre en tant qu’il est notre semblable, c’est l’autre en tant que son image nous retient, nous captive, nous supporte, et autour de laquelle nous constituons ce premier ordre d’identification qui est petit m, le moi. » Cette première ligne met donc en rapport la ligne imaginaire de l’identification narcissique et la ligne du désir, cela rejoint bien ce que Lacan a dit du fantasme en tant qu’il est « un imaginaire qui a pris fonction signifiante ».


La seconde ligne indique que le désir est aussi en lien avec la parole et donc avec ce qu’il nomme la Demande, demande de satisfaction du besoin. Le grand A, en tant que grand Autre est celui auquel s’adresse cette demande. Il est défini par Lacan comme étant le lieu de la parole. On retrouve le petit d en tant que désir et une nouvelle lettre qui est équivalente au point gamma du message du premier graphe, c’est la lettre s(A), qui se lit non pas signifiant de grand A mais signifié de grand A. Il veut dire « ce qui dans l’Autre est signifié, ce qui dans l’Autre, pour moi sujet, prend valeur de signifié à l’aide du signifiant, c’est à dire ce que nous avons appelé […] ses insignes ». L’idéal du moi que Lacan écrit IA est en relation avec ces insignes de l’Autre.


La troisième ligne est celle qui décrit la partie haute du graphe du désir, celle appelée aussi « ligne du complexe de castration. Ici, dans cette séance, Lacan l’inscrit d’un Delta : « Le Delta c’est précisément ce sur quoi nous nous interrogeons, à savoir ce ressort même par quoi le sujet humain mis dans un rapport au signifiant, ceci dans son essence de sujet […] Vous voyez ici de nouveau revenir le sujet dans son rapport avec le fait que son désir passe par la Demande ». de l’autre côté de ce graphe ce trouve cette lettre si énigmatique nommée par Lacan signifiant de grand A barré et qui est mise en rapport avec la lettre grand Phi. De nombreuses lectures de ces deux lettres ont été proposées par Lacan, en tout cas sur cette ligne du complexe de castration, on peut dire qu’elle pose l’Autre comme désirant, comme étant soumis lui aussi, tout autant que le sujet à la rude loi du langage.


Lorsque dans cette séance du 23 avril 1958 Lacan présente pour la première fois ce schéma en le dessinant il souligne en parcourant tous les trajets de ce graphe que la chaine signifiante se dédouble : « la première qui est ici quand elle est seule et simple au niveau de la Demande étant ici en tant que c’est une chaîne signifiante à travers de laquelle la Demande a à se faire jour. Il va intervenir autre chose qui double cette relation signifiante, c’est le doublement de la relation signifiante, pour autant que vous pouvez par exemple, entre autres choses, mais naturellement pas de façon univoque, l’identifier comme cela à la réponse de la mère ».
Ici se pose une question d’interprétation, s’agit-il de la chaine signifiante proprement dite que Lacan décompose en chaîne signifiante et chaîne signifiée, ou alors du dédoublement du circuit de la Demande et de celui du désir impliquant la réponse de l’Autre ? On peut me semble-t-il accepter ces deux hypothèses, nous ne sommes pas obligés de choisir, car c’est le graphe en entier qui est dédoublé.
En rouge la chaîne signifiante dédoublée, celle que Lacan appellera aussi chaîne de l’énoncé et de l’énonciation, en mauve la double chaîne de la Demande, la première nommée demande de satisfaction du besoin, la seconde, en tant qu’effet de détour par le désir de l’Autre et qui revient au point du message, arrive au point du message, comme étant le masque du symptôme en tant que manifestation du désir.
Ce graphe nous est en effet utile pour repérer justement ce qu’il en est de ce dédoublement, de ce clivage entre la demande et le désir. C’est pour en faire la démonstration qu’il le dessine. La demande est celle de la satisfaction du besoin qui est adressée à la mère, elle suivait le trajet du trait d’esprit sur le premier graphe pour arriver au point gamma, soit le point d’arrivée du message.
Le symptôme, en tant que Lacan nous dit bien qu’il est le masque du désir, va arriver, lui aussi en ce même point du message, mais il faut d’abord qu’il passe par le haut du graphe – qui n’est jamais que le graphe bleu du trait d’esprit, autrement dit celui de l’Autre). Donc ce point change d’appellation : il s’appelle maintenant signifié de grand A. C’est ce double circuit que Lacan illustrera en prenant appui sur l’observation d’Elisabeth Von R..
Liliane Fainsilber.


